يمكنك متابعة مزيد من الدروس من قسم الصف التاسع
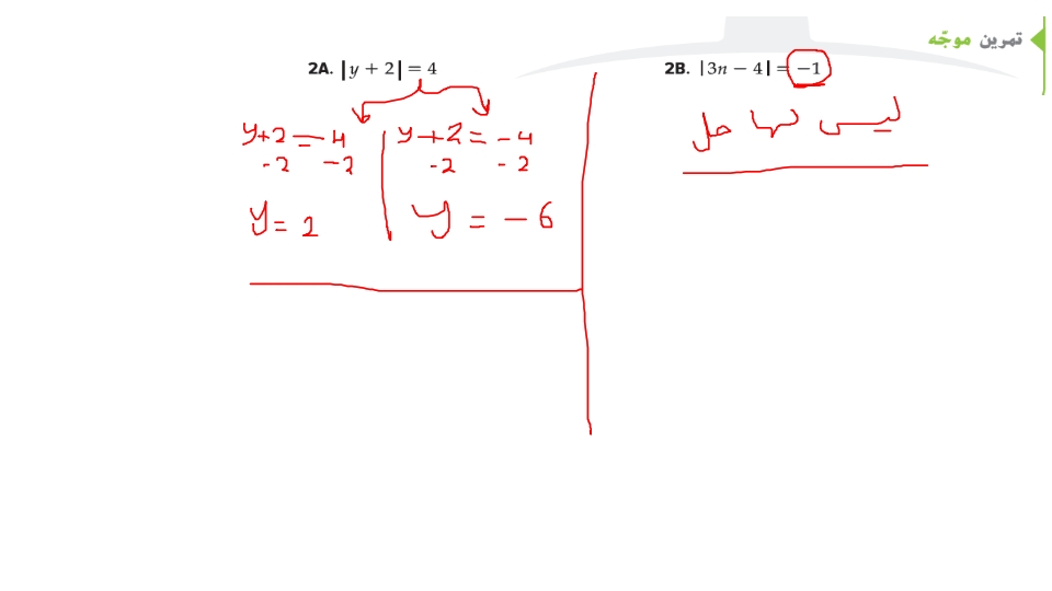
حل درس حل المعادلات التي تحتوي على قيمة مطلقة في الرياضيات للصف التاسع
مرحبا بكم أعزائي الطلبة في هذا الموضوع الذي يحتوي علي حل درس حل المعادلات التي تحتوي على قيمة مطلقة في الرياضيات للصف التاسع.
تحميل حل درس حل المعادلات التي تحتوي على قيمة مطلقة في الرياضيات للصف التاسع
يمكنك تحميل نسخة PDF من حل درس حل المعادلات التي تحتوي على قيمة مطلقة في الرياضيات للصف التاسع من الرابط التالي علي مدونة مدرسة المناهج الاماراتية.






